공무원 봉급표 2024: 신입 및 경력 공무원을 위한 최신 정보
2024년, 공무원의 봉급체계에 중요한 변화가 있었습니다. 공무원으로의 진로를 고려 중인 예비 공무원들과 현직 공무원들에게는 이번 봉급 인상이 큰 관심사가 될 것입니다.


이번 포스팅에서는 일반직, 경찰 및 소방 공무원을 포함한 다양한 직렬의 봉급표와 주요 변동 사항을 상세히 살펴보겠습니다.
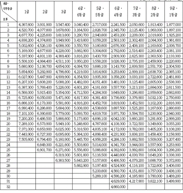
일반직 공무원 봉급표 2024

일반직 공무원의 봉급은 호봉과 직급에 따라 달라집니다. 9급 1호봉 일반직 공무원의 기본급은 1,877,000원이며, 여기에 직급보조비 175,000원이 추가되어 총 월급은 2,052,000원입니다. 이는 최저시급을 기준으로 한 월급 2,060,740원보다 약간 낮은 수준이지만, 전반적으로 안정적인 보수를 제공합니다.
신입 공무원의 경우, 9급 1호봉의 경우 1,815,070원으로 수당이 별도로 지급됩니다. 군 복무를 마친 9급 군필 공무원의 초임 봉급은 1,867,038원으로, 수당이 포함된 금액입니다. 2024년에는 신입 공무원의 봉급도 전반적으로 인상되어 예비 공무원들에게 긍정적인 소식이 되었습니다.
경찰 및 소방 공무원 봉급표 2024

2024 경찰과 소방 공무원은 일반직 공무원과는 다른 봉급 구조를 가지고 있습니다. 이들은 특별한 역할과 책임을 지니고 있어, 봉급 체계에서도 차별화된 보수가 제공됩니다.


경찰공무원 봉급
경찰공무원의 계급은 순경부터 치안총감(경찰청장)까지 총 11개로 구분됩니다. 특히, 경찰대학교를 졸업한 경우에는 바로 경위 계급부터 시작하게 됩니다. 2024년 신입 경위의 초임 봉급은 2,261,900원으로, 연봉 약 2,700만 원에 해당합니다. 이는 일반직 공무원에 비해 높은 수준으로, 경찰공무원의 업무 특성과 중요성을 반영한 결과입니다.
소방공무원 봉급
소방공무원의 계급도 소방사부터 소방청감까지 11개로 세분화되어 있습니다. 가장 낮은 계급인 소방사 및 순경의 1호봉 봉급은 1,877,000원으로, 연봉 약 2,250만 원입니다. 소방공무원의 봉급은 경찰공무원과 유사한 구조를 가지고 있으며, 업무의 위험성과 중요성을 고려한 보수가 적용되고 있습니다.
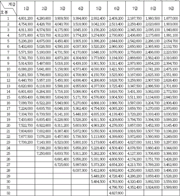
공안직 공무원 봉급표 2024

공안직 공무원은 사회의 안녕과 질서를 유지하는 중추적인 역할을 담당합니다. 교정직, 보호직, 검찰직, 마약수사직, 출입국관리직, 철도경찰직 등 다양한 분야에서 활동하며, 그에 따라 봉급 체계도 세분화되어 있습니다.


2024년 공안직 공무원의 봉급은 전반적으로 인상되었습니다. 특히 5급 이하 공무원의 보수가 2.5% 인상되었으며, 9급 공무원 초임 1호봉의 경우 6% 인상되어 1,877,000원으로 조정되었습니다. 이는 전년도 대비 큰 폭의 인상으로, 공안직 공무원의 보수 향상을 통해 이들의 사기 증진과 업무 효율성을 기대할 수 있습니다.
특수 직렬 공무원 봉급표 2024
특수 직렬 공무원은 일반 공무원과는 다른 업무를 수행하며, 이에 따라 봉급도 차별화되어 있습니다. 예를 들어, 교정직 공무원의 경우, 일반직보다 높은 보수를 받으며, 각 직렬별로 세부적인 봉급체계가 마련되어 있습니다.
2024년 특수 직렬 공무원의 봉급도 전반적으로 인상되었으며, 각 직렬의 특성과 업무의 중요성을 반영한 보수 체계가 구축되었습니다. 이는 특수 직렬 공무원의 업무 동기를 높이고, 우수 인재를 유치하는 데 기여할 것으로 보입니다.
2024년 공무원 봉급 인상의 배경
이번 2024년 공무원 봉급 인상은 여러 가지 경제적 요인과 사회적 요구를 반영한 결과입니다. 물가 상승률과 생활비 증가에 대응하기 위해 공무원의 보수를 인상하는 것은 필수적입니다. 또한, 공무원의 사기 증진과 업무 효율성을 높이기 위해 봉급 인상은 중요한 역할을 합니다.
특히, 신입 공무원의 봉급 인상은 예비 공무원들에게 큰 메리트로 작용할 것입니다. 높은 경쟁률을 보이는 공무원 시험에서 합격 후 안정적인 보수를 제공받을 수 있다는 점은 많은 이들에게 긍정적인 영향을 미칠 것입니다.
결론
2024년 공무원 봉급표는 전반적으로 긍정적인 변화를 보여줍니다. 일반직 공무원부터 경찰, 소방, 공안직 공무원에 이르기까지 다양한 직렬에서 봉급 인상이 이루어졌으며, 이는 공무원의 업무 동기와 효율성을 높이는 데 기여할 것입니다. 공무원으로의 진로를 고려 중인 분들은 이번 봉급 인상을 중요한 참고 자료로 삼아 보다 현명한 선택을 할 수 있을 것입니다.
'직업과 직장' 카테고리의 다른 글
| 2025년 교사 봉급표 (교사수당, 연금 인상률) (0) | 2024.12.10 |
|---|---|
| 3월 1일 대체공휴일: 2025년 삼일절 공휴일 알아보기 (0) | 2024.10.27 |
| 보건증 인터넷발급, e보건소, 공공보건포털, 건강진단서 (0) | 2024.09.03 |
| 정년연장 65세 시행 시기 (0) | 2024.08.20 |
| 연차휴가일수 계산, 연차수당 발생기준 (0) | 2024.07.29 |
목차
댓글