반응형
안녕하세요.
오늘은 2020 군인 봉급표와 20년 공무원 월급을 포스팅합니다.
공무원을 지망하시는 분 많으시죠?
안정적인 직업에 퇴직 후 연금으로 노후 걱정도 없는 공무원만큼 매력적인 직업이 군인이죠.
제 주변 지인들도 장래희망이 공무원이나 군인인 분들이 많습니다.
현 정부 정책상 공무원 증원은 확정되어 있습니다.
군인도 병력은 감축되지만, 직업군인의 증원은 추세입니다.
덕택에 지금 군인과 공무원을 지망하시는 분들에게는 정말 희소식이 아닐 수 없습니다.
모두 모두 열심히 공부해서 꼭 원하는 직무에 합격하시길 바랍니다.
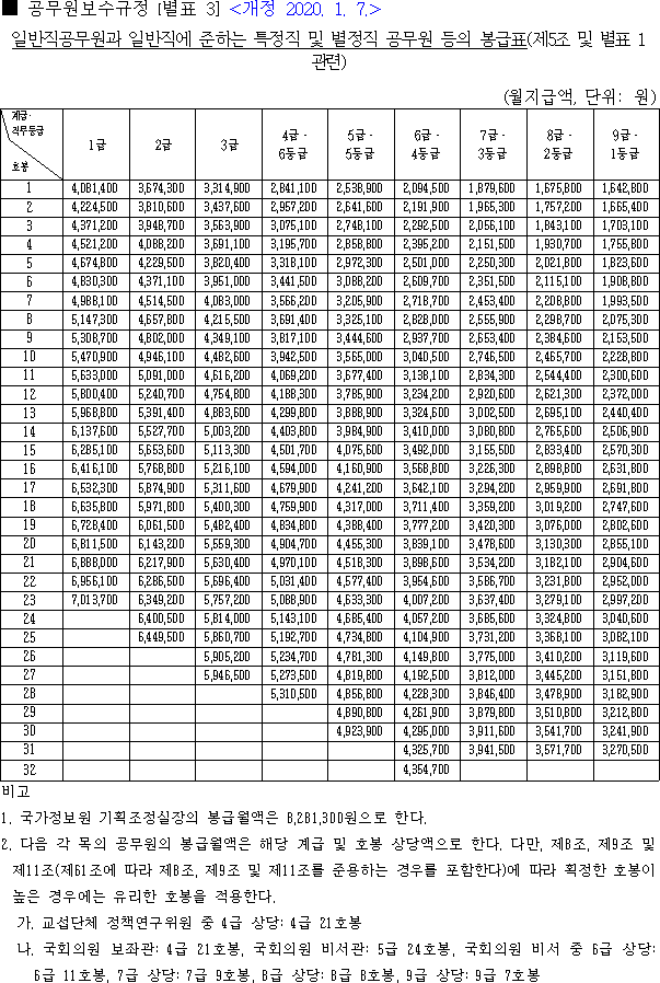
2020 공무원 봉급표


2019년도에 2.6% 인상했던 공무원 봉급이 2020년도에는 2.8% 인상되었습니다.
이는 9급 1호봉 기본급이 최저임금보다 적은 수치네요.
하지만 이번 최저시급이 많이 오른 경향도 있고 복지는 줄어든 것이 아니니 공시족 열기는 여전히 뜨거울 것 같습니다.
2020년 공무원 신규 증원 규모는 국가직이 15,000명 지방직 15,000명으로 같은 수치로 증가합니다.
2020년 군인 봉급표


사실 공무원은 봉급도 봉급이지만 성과급과 퇴직연금, 복지 등 때문에 인기가 있다고 생각합니다.
이 글에 관심 있는 분들 중 많은 분들은 공무원 시험을 준비하는 분들이라고 생각합니다.
반응형
'직업과 직장' 카테고리의 다른 글
| 2021년 ROTC 대령 진급자 명단 육군 공군 해군 2020 9월 진급 발표 (6) | 2020.09.10 |
|---|---|
| 2021년 공무원 봉급 예상 2021 공무원 봉급표 내년 교사 호봉표 보수 인상 21년 군인 월급 (0) | 2020.09.01 |
| 교육공무직 봉급표 2020 초등학교 기간제교사 중학교 교사 월급 고등학교 선생님 연봉 (0) | 2020.08.29 |
| 법무부 검찰 인사 사무관 서기관 사무국장 승진 검찰수사관 월급 수사과장 계급 공무원 직급 (0) | 2020.08.20 |
| 미군 특수전부대 델타포스 vs 미 특수부대 네이비씰 (1) | 2020.08.01 |