반응형
공무원 성과급 지급기준 지급시기 & 2020년 교원 성과상여금 교사 성과급금액
2020 교원 교사 성과급 지급시기와 금액이 결정되었습니다.
가장 궁금해하실 교육공무원 성과급 지급 시기는 : 20. 5월 초(예정)입니다.
공무원 상여금 몇 %?
차등지급률은 50%로 결정된 경우 교원 성과급 지급금액은 다음과 같습니다.
공무원에게 지급하는 성과상여금은 매년 전년도 공무원의 성과를 평가해서 공무원 성과상여금을 지급합니다.
따라서 공무원 성과급 지급시기는 성과 평가가 끝난 이후 예산 확보후 기관장의 재량에 따라 일시로 지급할 수도 있고, 몇개월에 걸쳐 나눠 지급하기도 합니다.
이 때 교사, 교원은 한학년에 3월에 시작되기 때문에 평가가 일반 공무원의 성과 평가에 비해 2달 가량 늦어지고 교육부가 담당해서 교사 성과급을 지급하기 때문에, 5월~8월 중으로 발표후 지급하게 됩니다.
일단 공무원의 상여금은 지난해의 성과에 대한 평가와 상여금의 지급이기 때문에, 원칙적으로 전년도의 계급과 호봉에 따라 지급을 하게 됩니다.
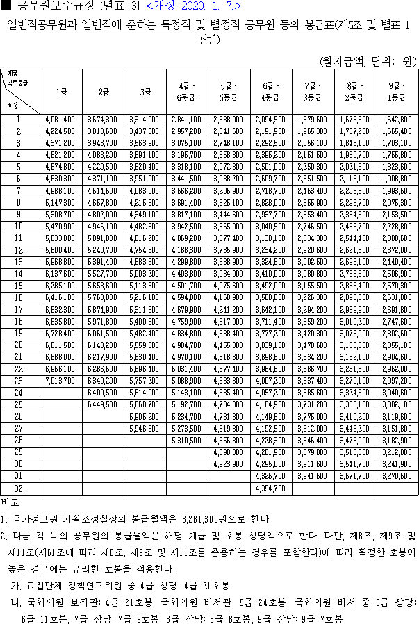
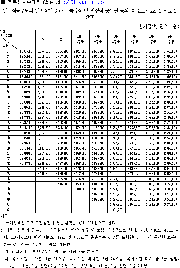
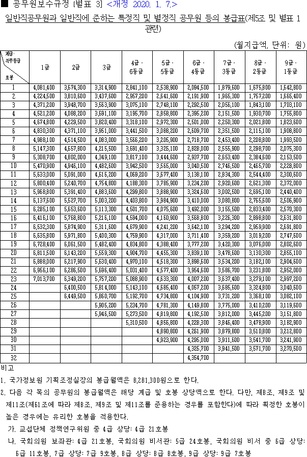
공무원 성과급 지급기준 역시도 전년도인 2019년 공무원 봉급표가 기준이 되게 됩니다.

공무원 성과상여금 지급기준
참고 하시라고 2020년 공무원 봉급표도 함께 올려 둡니다.
성과상여금 지급기준액
일반직, 특정직(군무원), 별정직 공무원 성과상여금 지급기준
| 구분 | 기준호봉 | 지급기준액 | |
| 일반직·특정직 (군무원)·별정직 |
1급 | 20호봉 | 6,602,400 |
| 2급 | 20호봉 | 5,954,600 | |
| 3급 | 20호봉 | 5,388,600 | |
| 4급 | 20호봉 | 4,754,100 | |
| 5급 | 18호봉 | 4,184,500 | |
| 6급 | 18호봉 | 3,597,500 | |
| 7급 | 15호봉 | 3,058,600 | |
| 8급 | 12호봉 | 2,540,800 | |
| 9급 | 10호봉 | 2,160,400 | |
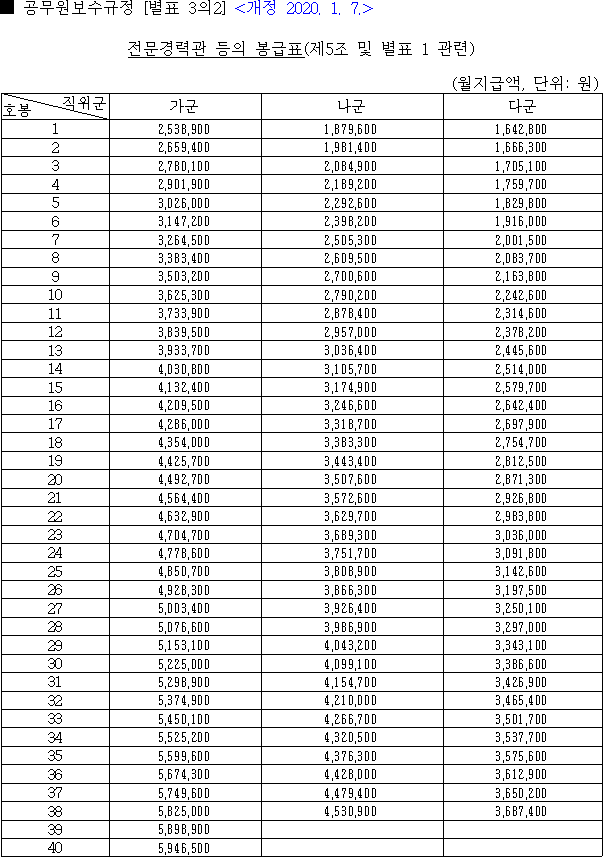
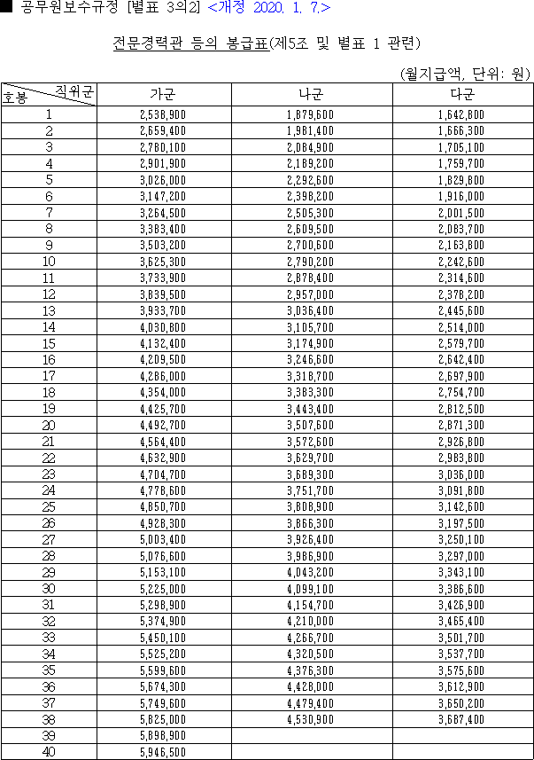
전문경력관 공무원 성과상여금 지급기준
| 구분 | 기준호봉 | 지급기준액 | |
| 전문경력관 | 가군 | 26호봉 | 4,777,000 |
| 나군 | 20호봉 | 3,399,900 | |
| 다군 | 13호봉 | 2,370,500 | |
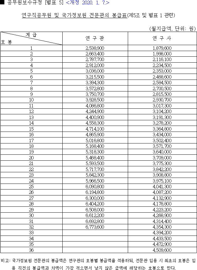
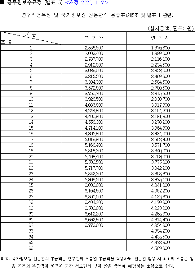
연구직, 지도직 공무원 성과상여금 지급기준
| 구분 | 기준호봉 | 지급기준액 | |
| 연구직 | 연구관 | 15호봉 | 4,569,400 |
| 연구사 | 16호봉 | 3,328,600 | |
| 지도직 | 지도관 | 15호봉 | 4,410,000 |
| 지도사 | 16호봉 | 3,114,200 | |
일반직, 우정직 공무원 성과상여금 지급기준
| 구분 | 기준호봉 | 지급기준액 | |
| 일반직 우정직 |
우정1급 | 20호봉 | 5,045,500 |
| 우정2급 | 20호봉 | 4,708,600 | |
| 우정3급 | 20호봉 | 4,403,000 | |
| 우정4급 | 20호봉 | 4,155,100 | |
| 우정5급 | 18호봉 | 3,805,300 | |
| 우정6급 | 18호봉 | 3,597,500 | |
| 우정7급 | 15호봉 | 3,058,600 | |
| 우정8급 | 12호봉 | 2,540,800 | |
| 우정9급 | 10호봉 | 2,160,400 | |
공안업무(경호공무원, 국가정보원) 공무원 성과상여금 지급기준
| 구분 | 기준호봉 | 지급기준액 | |
| 공안업무 (경호공무원·국가정보원직원) |
1급 | 20호봉 | 6,814,100 |
| 2급 | 20호봉 | 6,270,700 | |
| 3급 | 20호봉 | 5,716,700 | |
| 4급 | 20호봉 | 5,075,200 | |
| 5급 | 18호봉 | 4,379,700 | |
| 6급 | 18호봉 | 3,749,500 | |
| 7급 | 15호봉 | 3,180,300 | |
| 8급 | 12호봉 | 2,633,500 | |
| 9급 | 10호봉 | 2,241,900 | |
경찰·소방 공무원 성과상여금 지급기준
| 구분 | 기준호봉 | 지급기준액 | |
| 경찰·소방 | 치안정감·소방정감 | 20호봉 | 6,602,400 |
| 치안감·소방감 | 20호봉 | 5,954,600 | |
| 경무관·소방준감 | 20호봉 | 5,388,600 | |
| 총경·소방정 | 20호봉 | 4,885,300 | |
| 경정·소방령 | 18호봉 | 4,317,800 | |
| 경감·소방경 | 18호봉 | 3,834,900 | |
| 경위·소방위 | 17호봉 | 3,465,900 | |
| 경사·소방장 | 15호봉 | 3,092,600 | |
| 경장·소방교 | 12호봉 | 2,601,700 | |
| 순경·소방사 | 10호봉 | 2,277,900 | |
초중고대학 2020년 교원 성과상여금 및 교육전문직 공무원 성과상여금 지급기준
| 구분 | 기준호봉 | 교사 성과급 금액 | |
| 초·중·고·대학교원 및 교육전문직 | 1급상당 직위에 보직된 장학관 | 일반직 1급 20호봉 | 6,602,400 |
| 2급상당 직위에 보직된 장학관 | 일반직 2급 20호봉 | 5,954,600 | |
| 3급상당의 국장급 또는 기관장의 직위에 보직된 장학관 및 교육연구관 | 일반직 3급 20호봉 | 5,388,600 | |
| 교장, 3급과장 상당 또는 4급과장 상당의 직위에 보직된 장학관 및 교육연구관 | 35호봉 | 4,718,600 | |
| 별표12 적용자 | 27호봉 | 4,910,200 | |
| 교감, 직위가 없는 장학관 및 교육연구관 | 30호봉 | 4,101,300 | |
| 별표 12 적용자 | 23호봉 | 4,272,600 | |
| 교사, 장학사, 교육연구사 | 26호봉 | 3,621,200 | |
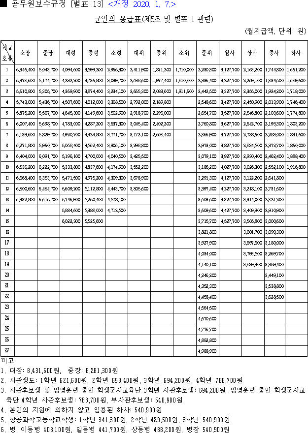
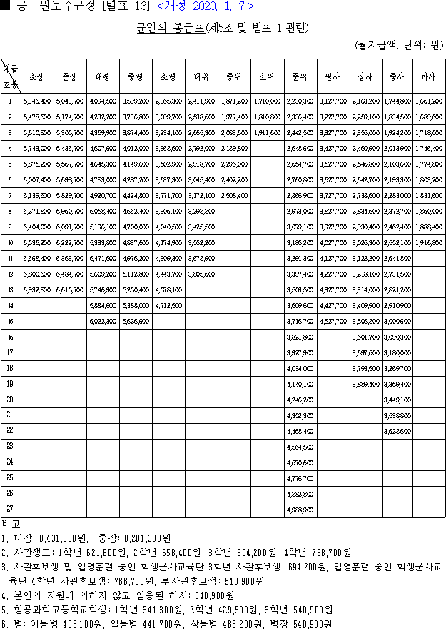
군인 성과상여금 지급기준
| 구분 | 기준호봉 | 지급기준액 | |
| 군인 | 소장 | 13호봉 | 6,719,500 |
| 준장 | 12호봉 | 6,285,900 | |
| 대령 | 12호봉 | 5,437,300 | |
| 중령 | 12호봉 | 4,956,100 | |
| 소령 | 9호봉 | 3,916,700 | |
| 대위 | 5호봉 | 2,829,100 | |
| 중위 | 2호봉 | 1,916,700 | |
| 소위 | 중위2호봉 | 1,916,700 | |
| 준위 | 20호봉 | 4,115,000 | |
| 원사 | 12호봉 | 4,097,600 | |
| 상사 | 12호봉 | 3,119,800 | |
| 중사 | 5호봉 | 2,038,800 | |
| 하사 | 2호봉 | 1,626,800 | |
일단 이를 기준으로 해서 지급기준액표를 이용해서 기준금액표를 작성했습니다.
정식 발표된 자료는 아니지만, 딱히 틀릴 이유도 없는 규정에 따른 금액이니까요.
그리고 당연하게도 이 금액을 성과금으로 주는 것이 아니라, S등급이냐, A등급이냐, B등급이냐에 따라서 172.5%, 125%, 85%로 차등 지급됩니다.










반응형
'직업과 직장' 카테고리의 다른 글
| ✒ 2020년 교원 봉급표 2020 교사 호봉표 (1) | 2020.07.27 |
|---|---|
| 2020년 공안직공무원 봉급표 교도관 연봉 2020 교정직공무원 월급 교도소 crpt (0) | 2020.04.22 |
| 교정직 공무원 교도소 교도관 계급 교정본부장 직급 소장 계장 과장 연봉 (2) | 2020.02.09 |
| 중국어 숫자 암호를 세계화에 걸맞게 중국숫자암호를 배워봅시다 (0) | 2020.02.08 |
| 2019 육군 준장 진급자 명단(rotc,삼사출신) 2019년 후반기 장군인사 강창구, 윤의철, 김현종, 박양동(rotc), 박정환(육사44기), 허강수 중장(3사출신) 강선영 소장, 김주희 정의숙 준장 (1) | 2020.02.07 |
목차
댓글