반응형
2020년 공무원 보수규정 개정안 공표는 1월 7일였습니다.
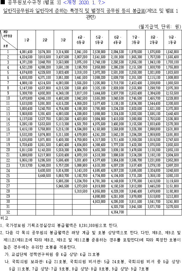
9급 1호봉 공무원 월급은 1,642,800원으로 확정되었습니다.

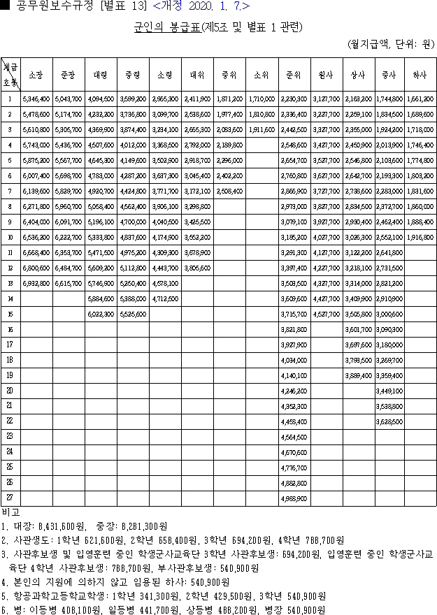
국정원 기조실장 월급은 중장 월급과 같은 8,281,300원입니다.


2020년 대장 월급은 843만 원을 넘었습니다.
중장 월급은 8,281,300입니다. 국정원 기조실장 봉급과 같습니다.

2020년 우정직군 공무원 봉급표.
보통 집배원 월급으로 알려져 있지만 상당수의 집배원은 무기 계약직원인 경우가 많습니다.
우정 9급 공무원 1호봉 봉급도 일반직 공무원 9급 공무원 1호봉 봉급과 동일하게 책정되었습니다.

2020년 대학 교원 봉급표 2020 교수 호봉표

2020 교사 호봉표, 2020 기간제 교원 2020 교사 근가 봉급표 는 1호봉당 71000원입니다.

2020년 대통령 연봉
전체적으로 공무원 봉급표는 당초 기재부 발표대로 2.8%가량 인상된 것 같습니다.
또 한 가지 인상 깊은 것은 대장 월급인데요.
이미 대장 월급은 2016년부터 실수령액 기준 1천만 원을 넘은 것으로 알고 있습니다.
그랬던 대장 월급이 기본급만 843만 원이 넘었습니다.
하사 초임이 온갖 기본수당 끌어다가 간신히 최저임금에 맞춘 것에 비하면 그 격차가 너무 큰 건 아닌가 싶네요.
실질적으로 국민을 위해 봉사하는 하위직의 급여는 올려주되, 고위직 공무원의 급여는 과감히 삭감하면 좋겠습니다.
ddm45
반응형
'직업과 직장' 카테고리의 다른 글
| 미군 특수전부대 델타포스 vs 미 특수부대 네이비씰 (1) | 2020.08.01 |
|---|---|
| 북한군 계급체계 총정치국장 서열 사랑의불시착 군사부장 장남부 장준녕 (0) | 2020.07.31 |
| 2020년 공안직공무원 봉급표 교도관 연봉 2020 교정직공무원 월급 교도소 crpt (0) | 2020.04.22 |
| 공무원 성과급 지급기준 지급시기 & 2020년 교원 성과상여금 교사 성과급금액 (2) | 2020.03.29 |
| 교정직 공무원 교도소 교도관 계급 교정본부장 직급 소장 계장 과장 연봉 (2) | 2020.02.09 |
목차
댓글