PS: 1.5일에 공무원 보수규정 개정안이 발표됐습니다. 정식 급여표를 글의 맨 아래에 추가합니다.
2021년 정보 중에서도 여러분이 가장 궁금해하실 연봉과 관련된 이야기입니다.
2021년도 공무원 연봉부터 봉급/보수체계/수당/성과제도까지 살펴보겠습니다.
먼저 2021년 일반직 공무원 봉급표 를 살펴보겠습니다.
공시생 분들이 궁금해 하는 것 중 하나가 공무원 호봉에 따른 봉급표죠.
2021년에는 2020년에 비해 2021년 공무원 봉급 인상률은 0.9% 정도 됩니다.
아직 인사혁신처 2021년 공무원 호봉표는 정식 발표되지 않았습니다.
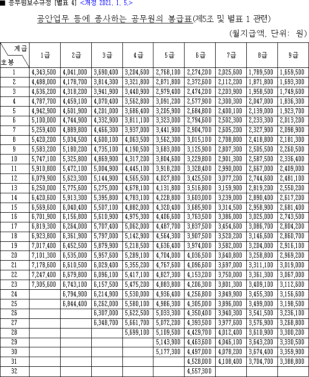
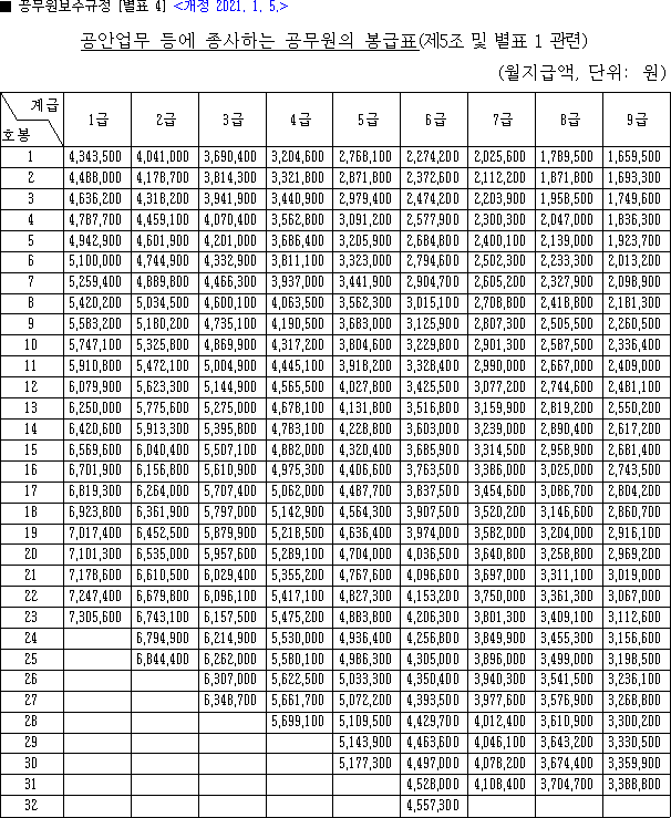
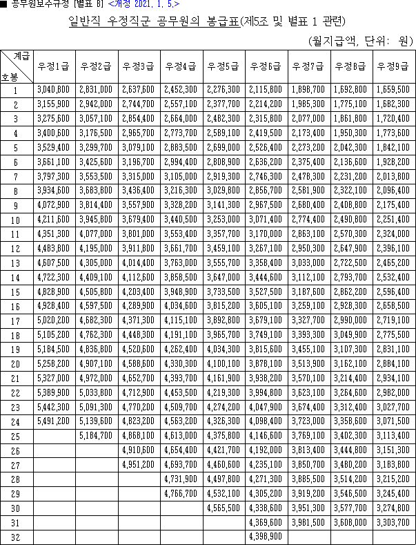
2021년 공무원 봉급표

2021 일반직 공무원 봉급표입니다.
다른 공무원 급여표는 글의 맨 아래에 추가해 둡니다.
많은 공시생들이 준비하는 7급/9급 공무원 월급을 살펴볼까요?
2019년 9급 공무원 1호봉 급여는 159만 원이었지만 2020년 9급 공무원 1호봉은 164만 원 수준으로 5만 원 정도 인상되었습니다.
2021년에는 165만 원 정도로 1만 몇천 원 올랐을 뿐입니다.
2019년 7급 공무원 1호봉 월급은 182만원인데, 2020년에는 188만 원 정도로 역시 6만 원 수준 정도 인상될 정도로 미미했습니다만... 올해는 인상 폭이 더 작죠.
봉급표에 표기된 급여는 기본급일 뿐입니다.
공무원 수당이 합쳐져야 제대로 된 실수령액이 되는 것이죠.
국정원 기획조정실장 봉급이 대략 835만 원선이 될 예정이네요.
기획조정실장 급여는 차관 월급 정도에 해당합니다.
정률 인상의 문제점이 바로 이거죠.
원래 많이 받는 새끼는 인상률이 적어도 더 많이 받는다는 것이죠.
아래에도 언급되겠지만 군인으로 치면 중장 정도에 해당됩니다.
2021년 교육공무원 봉급표

2021 교사 호봉표
교육공무원인 교사는 계급이 없습니다.
오직 호봉으로만 봉급표가 작성되어 있어서 2021년 교사 봉급표는 교사 호봉표라고도 부릅니다.
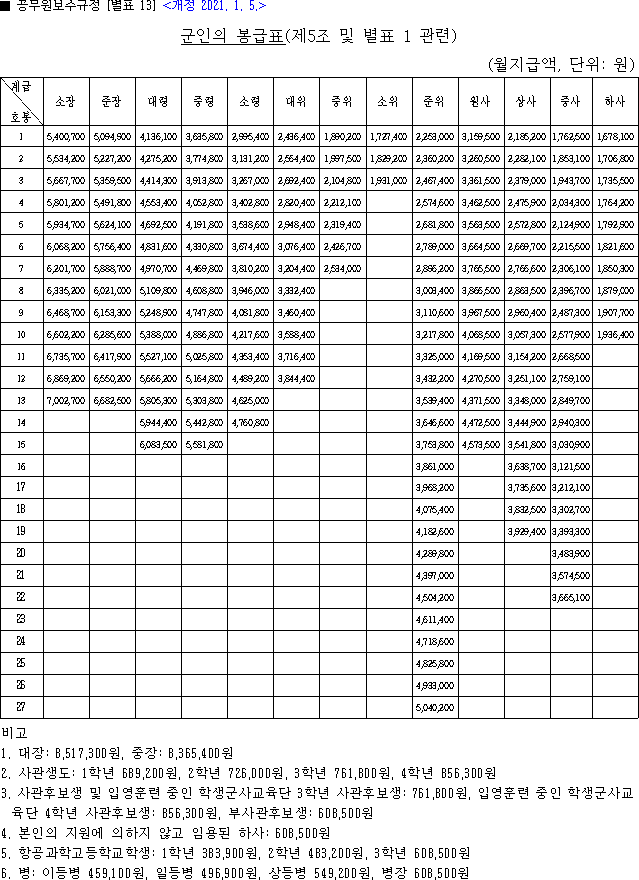
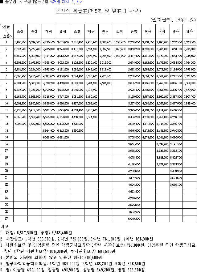
2021 군인 월급

2018년 병사 월급은 88%가량 인상 되었고, 2020년에는 33.3% 정도 인상되었습니다.
2021년에 병사 월급은 인상되지 않을 가능성이 큽니다.
2021년 직업군인 봉급은 일반 공무원과 마찬가지로 0.9% 인상될 뿐입니다.
대장 봉급이 850만 원 선입니다.
기본급만으로 억대 연봉이 넘죠.
대장은 장관과 동급의 봉급을 받게 됩니다.
2021년 소방공무원 봉급표 & 2021 경찰공무원 봉급표

지금까지 2021 공무원 봉급과 내년 공무원 임금 인상률을 살펴보았습니다.
공무원 월급이 생각보다 적죠?
아닙니다.
공무원에게는 수당이 있습니다.
공무원 수당은 공무원에게 지급되는 공무원 급여의 실제 수령액의 일부로 직무환경 및 생활여건 등에 따라 추가적으로 지급되는 부가 급여입니다.
그럼 지금부터 공무원 실수령액에 반영되는 보수체계, 수당제도, 여비제도 등을 함께 확인해보겠습니다
공무원의 보수체계
공무원 보수는 크게 봉급과 수당으로 나뉩니다.
호봉에 따른 봉급은 위의 호봉표에 따라 계급과 호봉에 따라 지급되는 기본급입니다.
수당은 총 18종으로 실비변상과 그 외 수당으로 분류할 수 있죠.
실비변상은 정액급식비, 직급보조비, 면접 휴가비, 연가보상비로 이루어져 있습니다.
수당의 경우, 상여수당(3종), 가계 보전 수당(4종), 특수지 근무수당(5종), 초과근무수당 등(2종)으로 구성돼 있어요.
공무원 수당제도
공무원의 다양한 수당제도와 지급 대상을 정리한 표입니다.

호봉에 따른 기본급에 이러한 수당이 붙어 공무원이 실제로 받는 실수령액으로 계산되어 지급됩니다.
물론 실수령 시에는 공무원연금 기여금, 갑근세 등이 공제됩니다.
지금까지 2021년 공무원 봉급표에 대해서 살펴보았습니다.
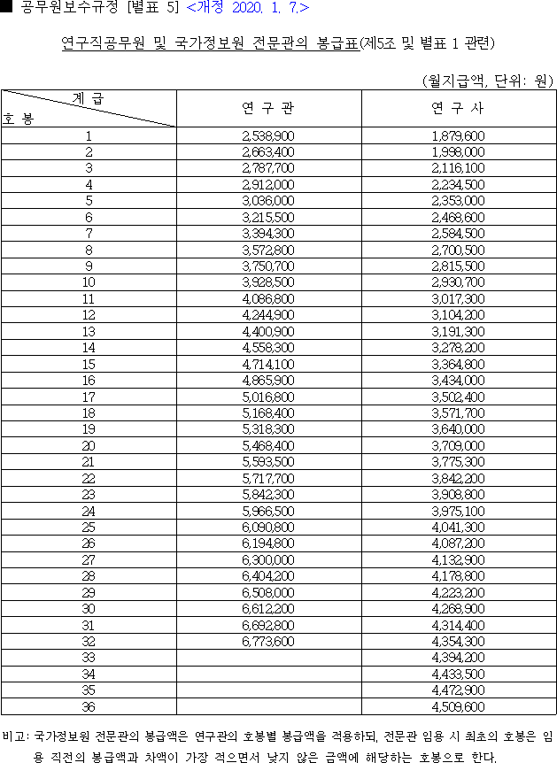
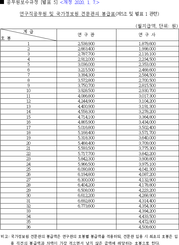
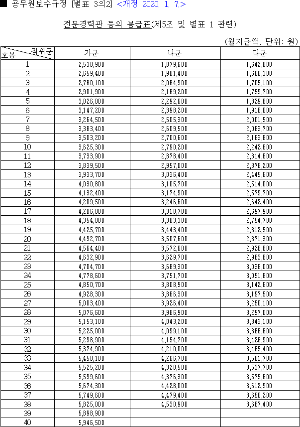
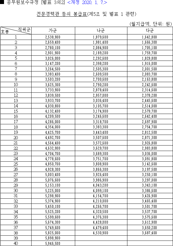
아래는 2020 공무원 봉급표입니다.







인사혁신처 2021 공무원 보수표






'직업과 직장' 카테고리의 다른 글
| 2021년 공무원 임금인상률 내년 보육 교사 호봉표 2021 공무원 봉급표 (0) | 2020.09.20 |
|---|---|
| 2021년 군인 봉급표 2021 직업군인 월급 간부, 대장, 중장, 중령, 중위 월급 (1) | 2020.09.19 |
| 남영신 대장 차기 육군참모총장 나이 서욱 국방부장관 프로필 전임 김용우 전 육군 참모총장 신형 군복 옥택연 전투복 전투화 (2) | 2020.09.16 |
| 2021년 ROTC 대령 진급자 명단 육군 공군 해군 2020 9월 진급 발표 (6) | 2020.09.10 |
| 2021년 공무원 봉급 예상 2021 공무원 봉급표 내년 교사 호봉표 보수 인상 21년 군인 월급 (0) | 2020.09.01 |
목차
댓글