2021년에는 2020년에 비해서 군인 월급이 얼마나 인상이 될까요?
그래서 2021 군인 월급 예상을 준비해 봤습니다.
2021년 공무원 보수규정이 공표되어야 정확하겠지만 어느 정도 예상 안이 나오고 있습니다.
병사는 이병, 일병, 상병, 병장으로 나누어지게 되며, 현재 2020년 병장은 54만 원을 받고 있습니다.
그렇다면, 내년도 21년에는 얼마나 많은 군인 월급이 오를지 기대가 됩니다.
20대에 밤낮으로 고생하는, 청춘들은 최저임금에 달하지도 못하는 금액을 받고 국가의 부름에 충성을 다하고 있습니다.

제가 군대에 있을 때보다 몇 배나 인상되었지만 그래도, 턱없이 부족한 군인들의 월급입니다.
올해는 33.3%가 인상된 금액으로 2020 군인 월급이 책정이 되었습니다.
2021년 병사 월급은 동결될 가능성이 큽니다.
보통 병 월급은 2년마다 인상되거든요.
위의 표를 작성했던 언론사는 그걸 몰랐나 봅니다.
2019년에 해당하는 게 올해 인상분이고, 위 표의 2020년으로 표기된 인상 예정은 2022년이 됩니다.
또한, 군 복무기간이 18개월까지 단축이 되니 합으로 따지면 크게 인상한 폭은 아니라고 생각합니다.

직업군인이나 ROTC 등등은 2021년이 돼봐야지 정확한 금액이 나옵니다.
그렇기 때문에 이렇게 보면서 알아두는 것도 나쁘지 않은 것 같습니다.

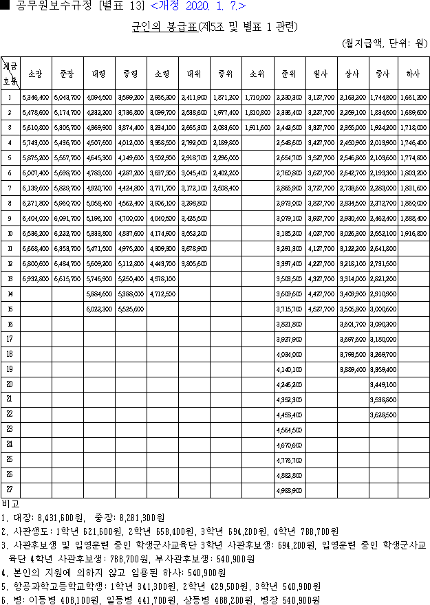
장관급 월급에 해당하는 대장은 850만 원을 급여로 받습니다.
장관급 월급이라는 것은 조금 애매하긴 합니다만...
장관은 연봉으로 계산되고, 대장은 월급으로 계산되지만 대략 총연봉을 비교하면 비슷하다는 뭐 그런 내용입니다.
위 예상표에서 대장 월급과 중장 월급은 2021년 공무원 급여 인상률 0.9%가 반영된 금액이지만, 사관생도 및 병 월급은 인상분 반영을 하지 않았습니다.
일단 일부 언론매체에서는 인상 예정이라곤 하지만, 지금까지 병 월급이 매해 인상된 적은 없기 때문에 동결될 가능성이 크고, 형평성 때문에 항공과학고 역시 동결될 가능성이 큽니다.
다만 사관생도나 사관후보생의 급여는 어찌 될지는 알 수 없습니다.
2021년 직업군인 월급에서 1호봉 하사 월급이 167만 원이나 되어 있습니다.
2021년 일반직렬 9급 공무원 1호봉 월급이 165만원인 것에 비하면 꽤 높아 보여서, 와~ 우리나라 군대가 처우가 좋구나 생각하면 경기도 오산 미군기지입니다.
기존에 통상 매달 수당으로 받던 급여 일부가 기본급에 군인만 편입되어서 그렇게 보이는 것입니다.

2018년에 군인 기본급이 국민 최저임금보다 적게 책정돼 눈 가리고 아웅 하기 위해서 통상 수당을 기본급으로 편입시킨 꼼수를 쓴 것이 지금껏 이어지고 있습니다.
그럴 거면 타 직렬 공무원도 그렇게 하지...
이게 통상임금에 수당이 포함되냐 안되냐는 연금이나 퇴직금 연동과 관련이 있어서 그렇게 하지 않았을 것이라는 추측입니다.
부릴 땐 개처럼 돈 줄 땐 쥐꼬리처럼... 동물 참 좋아라 하는 정부입니다.
중위 월급부터는 괜찮지만 소위월급 역시 마찬가지입니다.
'직업과 직장' 카테고리의 다른 글
| 엑셀 셀 삽입 오류 해결 방법 비어 있지 않은 셀을 워크시트의 끝으로 밀어내기 때문에 새 셀을 삽입할 수 없습니다. (3) | 2020.09.30 |
|---|---|
| 2021년 공무원 임금인상률 내년 보육 교사 호봉표 2021 공무원 봉급표 (0) | 2020.09.20 |
| 2021년 공무원 봉급 인상률 0.9% 교육공무원 봉급표 2021 교원 호봉표 (0) | 2020.09.17 |
| 남영신 대장 차기 육군참모총장 나이 서욱 국방부장관 프로필 전임 김용우 전 육군 참모총장 신형 군복 옥택연 전투복 전투화 (2) | 2020.09.16 |
| 2021년 ROTC 대령 진급자 명단 육군 공군 해군 2020 9월 진급 발표 (6) | 2020.09.10 |
목차
댓글