2025 공무원 봉급 인상률 2025년 봉급표
새해가 밝으면서 많은 사람들이 공무원 봉급에 대한 관심을 가지게 됩니다. 공무원 시험을 준비하거나, 이미 공직에 있는 분들에게는 중요한 문제이기 때문입니다. 이번 글에서는 2025년 공무원 봉급표와 봉급 인상률에 대해 상세히 알아보겠습니다. 2025년에는 어떤 변화가 있었고, 각 직급별 봉급은 어떻게 책정되었는지 살펴보겠습니다.

공무원으로서의 재정 계획 수립에도 큰 도움이 될 것입니다.
2025년 공무원 봉급 인상률
2025년 공무원 봉급 인상률은 경제 상황과 공무원 노동 환경 개선에 맞춘 정책적 조정 결과입니다. 2025년 예상 물가 상승률은 약 3%로 전망되었으며, 이에 따라 공무원 봉급에도 물가 상승분이 반영되었습니다. 특히 다음과 같은 특징이 눈에 띕니다:
- 하위 직급의 봉급 인상폭 증가: 9급 공무원과 같은 초급 공무원의 봉급 인상률이 상대적으로 높게 책정되었습니다. 이는 사회적 약자 계층에 대한 배려를 반영한 정책적 결정입니다.
- 주요 수당 인상: 기본급뿐만 아니라 시간외근무수당, 가족수당, 위험수당 등 주요 수당들도 소폭 인상되었습니다. 이를 통해 공무원들의 실질적 소득 상승을 꾀하였습니다.
2025년 공무원 봉급표 개요
2025년 공무원 봉급표는 국가 예산과 물가 상승률, 공무원의 역할과 책임 등을 고려해 책정되었습니다. 기본급 외에도 수당이 포함된 최종 급여를 기준으로 공무원들이 체감하는 소득은 다양합니다. 다음은 2025년 기준 주요 직급별 기본급입니다:

2025년 공무원 봉급표
- 9급 1호봉: 1,933,310원 (2024년 대비 약 6만 원 인상)
- 7급 1호봉: 2,112,118원
- 5급 1호봉: 2,798,510원
- 고위 공무원: 직급별로 차등 적용
2024년 9급 공무원 1호봉의 기본급이 약 1,870,000원이었던 점을 고려하면, 전반적으로 약 3% 내외의 인상이 이루어진 셈입니다. 이는 경제 성장률과 물가 상승률을 적절히 반영한 결과입니다.
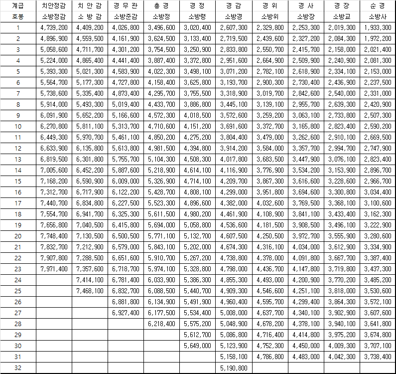
직종별 봉급표
공무원의 직종에 따라 봉급 체계는 약간씩 다릅니다. 일반직 공무원, 경찰, 소방공무원, 교사 등 직종별로 봉급표를 구체적으로 살펴볼 필요가 있습니다. 예를 들어:
- 교사: 교육공무원의 경우, 직급 및 근무 연한에 따라 기본급과 함께 연구수당, 담임수당 등이 추가됩니다.

- 경찰: 현장 근무 여부에 따라 위험수당이 포함되며, 직급에 따라 인상폭이 다릅니다.
- 소방공무원: 출동수당과 위험수당이 포함되어 있습니다.

각 직종별로 봉급표와 추가 수당을 확인하는 것이 중요합니다. 정부가 제공하는 공식 자료에서 직종별 세부 봉급표를 다운로드해 참고할 수 있습니다.
공무원 봉급 인상의 의미
2025년 공무원 봉급 인상은 단순히 경제적 보상 이상의 의미를 가집니다. 이는 공무원의 사기를 높이고, 공직의 안정성을 강화하며, 국가적 봉사를 장려하는 데 기여합니다. 다음과 같은 효과를 기대할 수 있습니다:
- 경제적 안정성 강화: 물가 상승률에 따른 적절한 인상으로 공무원의 경제적 부담을 경감.
- 공무원 역할의 중요성 반영: 공무원의 역할과 책임에 대한 사회적 인식 제고.
- 사회적 기여 확대: 공직의 안정성이 높아지면 공공서비스의 질도 함께 향상됩니다.
결론
2025년 공무원 봉급 인상과 봉급표는 공무원의 노동 환경 개선과 경제적 안정성을 강화하기 위한 중요한 정책적 결정입니다. 이 글을 통해 2025년 공무원 봉급에 대한 정보를 잘 이해하고, 이를 기반으로 재정 계획을 체계적으로 세우시길 바랍니다. 공직자 여러분의 헌신과 노고에 감사를 드리며, 새해에도 더욱 발전하는 한 해가 되길 기원합니다.
'직업과 직장' 카테고리의 다른 글
| 군인 봉급표 2025 - 하사·소위·중위 월급 총정리 (0) | 2025.05.31 |
|---|---|
| 공무원 정년연장 65세 시행 시기 (0) | 2025.05.27 |
| 2025년 교사 봉급표 (교사수당, 연금 인상률) (0) | 2024.12.10 |
| 3월 1일 대체공휴일: 2025년 삼일절 공휴일 알아보기 (0) | 2024.10.27 |
| 공무원 봉급표 2024: 신입 및 경력 공무원을 위한 최신 정보 (0) | 2024.10.06 |
목차
댓글