안녕하세요, 여러분. 오늘은 군인, 특히 중위, 대위 그리고 소위의 연봉과 월급에 대해서 알아보는 시간을 갖도록 하겠습니다. 이 토픽에 대한 관심도 의외로 많아서, 제가 블로그를 운영하면서 찾아오시는 분들 중 상당수가 이 주제를 찾아봅니다. 그런데 여러 계급 중에서 특히 육군 중위의 월급에 대한 궁금증이 더 많다는 사실이 흥미롭습니다. 아마 소위에서 중위로 진급하는데 일반적으로 1~2년이 걸리기 때문에, 육군 중위 월급을 일종의 직업군인의 시작점으로 생각하는 분들이 많은 것 같습니다.

직업군인의 월급 체계
먼저, 직업군인의 월급은 다른 공무원의 월급과 마찬가지로 기본급, 가산점, 수당 등으로 구성되며, 군인의 기본급은 일반 공무원의 월급에 비해 약간 높은 편입니다. 그러나 소위의 경우, 최근까지도 최저임금 월급에도 못 미치는 수준이었으므로, 사실상 중위부터 직업군인 월급으로서의 의미를 갖게 됩니다.
중위 연봉과 호봉의 차이
중위 연봉에 대해 이야기하기 전에, 중요한 점이 하나 있습니다. 군인의 호봉 체계는 출신에 따라 차이가 납니다. 육군사관학교 출신은 소위 3호봉부터 시작하고, 중위로 진급하면서 1호봉 감봉이 되어 중위 3호봉이 됩니다. 반면, 3 사관학교 출신은 2호봉부터 시작하고, 학사장교나 ROTC는 1호봉부터 시작합니다.

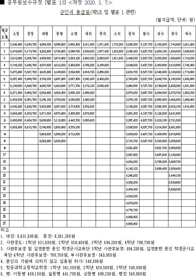
2016년 기준으로 중위 연봉은 세전 3300만 원 정도였습니다.

세후 연봉은 2700만 원 정도였습니다. 이 수치를 2023년 기준으로 변환해 보면, 약 15% 정도 인상된 것으로 나타납니다. 이는 매년 2~3%의 인상률을 갖고 있어서인데, 2021년에는 0.9%, 2022년은 1.4%, 그리고 2023년에는 또 1.4%의 인상률을 보였습니다.
소위, 중위, 대위 월급 비교
소위의 월급은 기본적으로 3호봉으로 구성되어 있습니다. 육사 출신은 임관과 동시에 3호봉이 부여되므로, 군인 소위에서 군인 중위로 빠르게 진급하는 것은 육사 출신의 엄격한 교육 과정을 고려하면 충분히 이해할 수 있습니다.
육사출신 육군소위급여는 192만원부터 시작하게 됩니다.
해군 중위 월급 역시 해군 사관학교 출신은 2호봉이 더 해져서 시작하기 때문에, 중위 2호봉(소위 3호봉에서 감호봉 -1)이 되면
군인 소위 월급은 봉급표에 3호봉으로만 구성되어 있습니다. 이 '호봉'이란 것은 무엇일까요? 간단히 말해서 군인의 급여 등급을 나타내는 것이라고 보면 됩니다. 일반적으로 사관학교 출신 장교들은 임관과 동시에 3호봉을 받게 되는데요, 육사 출신의 경우에는 이보다 더욱 특별한 혜택이 있다고 합니다.
육사에서 4년 동안 공부하고 군인으로서의 기본적인 소양을 키우는 동안 그들은 사실상 군대 생활을 경험하게 됩니다. 그래서 육사 출신들에게는 임관과 동시에 3호봉이 부여되는 것이지요. 이는 육사출신 장교들의 커리어를 빠르게 시작하겠다는 강력한 의지를 보여주는 것이기도 합니다.
그렇다면 육사 출신 대위의 경우 어떨까요? 일반적으로 그들의 시작 호봉은 4~5호봉이라고 하는데요, 이 경우에 대위의 월급은 거의 300만원에 육박하게 됩니다. 이는 공무원 시험을 준비하며 늦은 나이에 입문한 공무원들에 비해서도 상당히 높은 급여 수준이라 할 수 있습니다.
특히, 일반 육군 대위 월급은 기본급여에 소소한 수당이 붙을 뿐이지만, 해군 대위나 공군 대위의 경우에는 조금 다릅니다. 잠수함 장교나 전투기 조종사와 같은 특수 직업군의 경우, 위험을 수반하는 업무에 따라 추가적인 위험수당이 붙어 급여가 크게 늘어납니다.
또한, 공군 전투기 조종사인 공군 대위 월급의 경우에는 민항사 기장으로 빠지는 인력을 방지하기 위한 장려금까지 지급되기 때문에, 그들의 급여 수준은 특히나 높게 설정되어 있습니다. 심지어 같은 나이의 공무원이나 검사보다 월급이 더 많을 수도 있죠.

대위의 경우, 육사 출신이라면 4~5호봉에서 시작하게 되므로, 기본급만으로도 300만 원에 육박하게 됩니다. 하지만 이는 육군의 경우이며, 해군과 공군의 경우에는 추가 수당이 붙기 때문에 월급이 더욱 높아집니다. 특히, 해군의 잠수함정 장교나 공군의 전투기 조종사라면, 위험수당이 붙어 월급이 급격히 늘어납니다.
공군의 전투기 조종사는 특히 민간 항공사의 기장으로 진출하는 인력을 유지하기 위해 추가적인 장려금이 지급되므로, 공무원과 비교했을 때 월급이 월등히 높은 편입니다. 실제로, 같은 나이의 검사보다 전투기 조종사인 공군 대위의 월급이 더 높을 수도 있습니다.
해군장교 월급도, 기본급은 육군 소위 급여나, 해군소위급여나 별차이가 없습니다. 다만, 잠수함 승조원 같은 해군 장교의 경우에는 잠수함 탑승 수당, 위험수당 등이 붙는데 이게 또 금액이 장난 아닙니ㅏㄷ.
이런 부분들에 대해서는 차후 별도로 포스팅 하겠습니다.
따라서 해군 대위 급여, 육군대위급여, 공군대위 월급이 기본급은 같다고 해서, 그것이 공군 대위 연봉이랑 육군대위 연봉이랑 같은 것은 아니라고 할 수 있습니ㅏㄷ.
같은 공군중위 연봉중에서도 전투기 조종사이냐 아니냐에 따라서 그 차이는 어마어마합니다.
아 전투기 조종을 할 중위는 여전히 훈련생신분이기는 합니다만, 고정익 항공전투기를 탑승하니 그에 맞는 수당이 붙습니다.
결론
군인 월급은 계급, 출신, 직무 등에 따라 차이가 납니다. 또한, 인상률도 매년 변하기 때문에, 정확한 금액을 알고 싶다면 매년 군인 봉급표를 참조하는 것이 좋습니다. 그럼에도 불구하고 이 글이 군인 월급에 대한 기본적인 이해를 돕는데 도움이 되었기를 바랍니다. 다음에는 다른 직업군의 연봉에 대해서도 다뤄보도록 하겠습니다. 여러분의 많은 관심 부탁드립니다!
'직업과 직장' 카테고리의 다른 글
| 교사 연가일수 교육 공무원 연가보상비 계산방법 가족수당 정근수당 지급기준 (1) | 2020.12.28 |
|---|---|
| 2021년 경찰공무원 채용 시험 일정 2021 101경비단 여경 순경공채 선발 인원 (0) | 2020.12.19 |
| 2021년 경찰공무원 봉급표 2021 교사 호봉표 군인 월급, 최저임금은 얼마? (0) | 2020.12.09 |
| 2021년 삼성전자 임원 승진 명단 부사장 인사 (0) | 2020.12.03 |
| 2020 공무원 성과상여금 지급기준 2021 군인 경찰 교사 성과급 지급시기 (0) | 2020.11.22 |