쌀쌀한 연말입니다.
어제부터 코로나 격리 단계는 수도권에서 2.5단계로 격상됐습니다.
어딜 갈 수도 없고...언택트시대에 인터넷 서핑이 늘어나기 마련이죠.
오늘 포스팅할 내용은 공시생 및 현직 공무원들이 오는 2021년에 가장 궁금해하는 공무원 봉급입니다.

2020년도 최저임금은 8,590원이었습니다.
올해 최저임금 8590원은 2019년도보다 2.9% 인상률이 적용된 금액입니다.
내년도인 2021년 최저임금은 8720원으로 결정됐습니다.
매년 그렇지만 2021 최저임금에 대해 노동계도, 소상공인연합회도 극렬하게 반대의사를 표시했습니다.
그나마 올해는 코로나로 자영업이 어려운 가운데 폐업하는 소기업들도 많아서인지, 2021년 임금인상에서 노동계의 많은 양보가 이뤄졌습니다.
한쪽에서는 이 시국에 너무 많이 올린다, 그렇게 인건비를 주면서는 경영을 할 수가 없다는 게 이유고, 한쪽에서는 상여금을 포함해서 최저임금을 결정하면 안 된다는 것이 이유입니다.
그렇게 결정해서 2020 대비 1.5% 인상된 8720원이 되었고. 2021 최저월급은 182만 2480원으로 결정됐습니다.
최저임금 수준은 공무원 급여 인상률 결정에도 영향을 미칩니다.
그렇다면 '2021년도 공무원 봉급 역시 1.5%의 인상률이 적용되는 것인가?'라는 궁금증이 생길 수 있을 것입니다.
표면적인 기본급은 여전히 최저임금에 못 미칩니다.
게다가 2021년 공무원 봉급 인상률 0.9%로 결정됐습니다.
역대 최악의 인상률이죠.

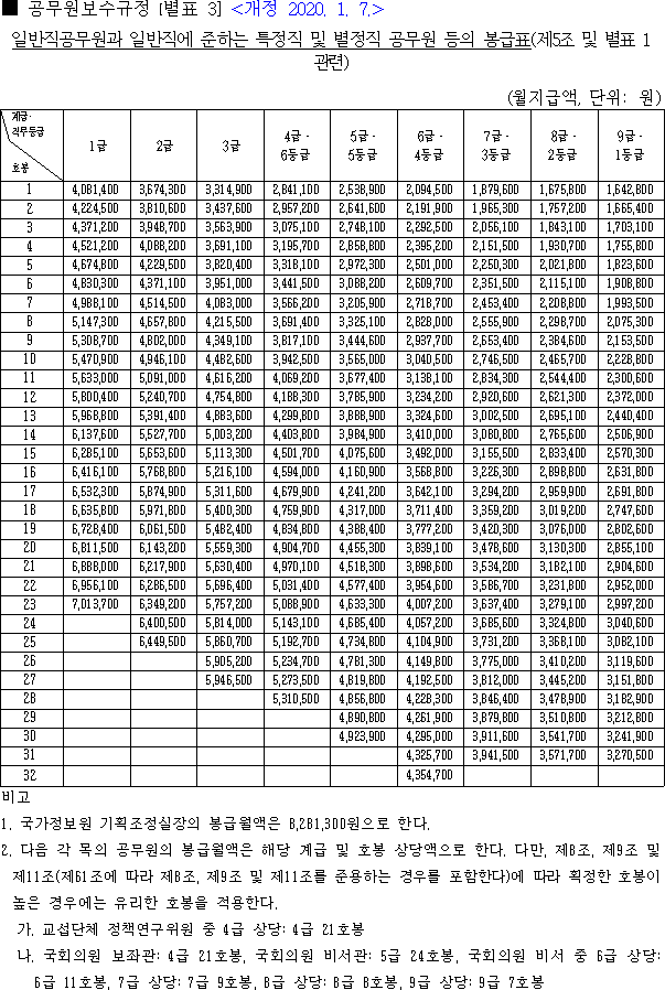
위의 표는 2020년 1월 7일부터 시행 중인 공무원 봉급입니다.
19년도보다 전체적으로 대략 2.8% 인상되었습니다.
그러함에도 9급 1호봉, 2호봉, 4호봉까지 공무원의 봉급은 2020년 최저임금인 179만 원 보다 적게 표기되어 있습니다.
하지만 이는 각종 수당들이 포함되지 않은 순수 기본급이기 때문에 수당들이 포함된 실수령액은 최저임금보다 많은 봉급을 받게 됩니다.
이 부분이 2021 공무원 봉급 인상과, 2021년 최저임금 개정안의 갈등이 포함된 문제도 내포하고 있습니다.
상여금(수당)을 포함해서 최저임금 수준을 결정할 것인가.... 쉽지 않은 문제입니다.
아래의 내용들은 2021년 공무원 봉급표 예상을 비롯한 2021 교사 호봉표, 2021 군인 월급 등입니다.

아래 2021 공무원 봉급표는 경찰 및 소방공무원입니다.

2021 경찰 급여 역시 일반직공무원 임금 인상률과 마찬가지로 0.9% 인상률을 보이고 있습니다.
다만 2021년 경찰공무원 봉급표는 2018년부터 순경 월급마저도 일방 공무원 9급 급여와 똑같아졌다는 것이 문제죠.
아래는 2021 군인월급입니다.
군인은 징병당한 병사들도 있고, 직업군인인 공무원도 있습니다.
그래도 군인은 군인이죠. 민간인 아니면 군인인 세상 기준...

2021 군인 월급을 예상해보면 대장 월급은 850만 원을 넘게 됩니다.
직업군인이 아닌 병사는 병장이 54만 원으로 2020 군인 월급과 동일하게 받게 됩니다.
병사의 군대 월급은 2년마다 인상된다고 합니다.
하사 월급이 167만 원가량으로 9급 공무원보다 많게 책정됐습니다만.... 이건 일반 공무원들이 수당으로 받는 일부 수당이 기본급으로 통합되어 나오는 착시 현상입니다.
그렇다 하더라도 여전히 최저월급보다 적습니다.
하지만 여전히 남아 있는 각 종 수당들이 포함되어있기 때문에 실지급받는 봉급은 이보다 더 많겠죠?
2021년 교육공무원 봉급표

일반적으로 교육 공무원들인 교사의 첫 호봉은 8-9호봉부터 시작합니다.
학령 및 기타 호봉획정 기산에 의해서 최하 8호봉이 보장되는 것입니다.
다들 척하고 첫 임용에 정교사로 채용되면 다행이겠지만....
비고란에 쓰여 있듯이 기간제 교원은 14호봉을 넘지 못한다고 명시되어 있는 것처럼 정직원이 되기 전에 기간제 교사로 전전하는 교육공무원 준비생들이 많습니다.
현 정부에서 공무원 대규모 증원 발표를 한 만큼 2021년 역시 많은 응시자들이 시험을 치를 것으로 예상됩니다.
후회하지 않도록 열심히 준비하셔서, 반드시 합격하시길 바랍니다.
'직업과 직장' 카테고리의 다른 글
| 2021년 경찰공무원 채용 시험 일정 2021 101경비단 여경 순경공채 선발 인원 (0) | 2020.12.19 |
|---|---|
| 군인 중위 연봉 해군 공군 대위 육군 소위 2021 장교 월급 (0) | 2020.12.17 |
| 2021년 삼성전자 임원 승진 명단 부사장 인사 (0) | 2020.12.03 |
| 2020 공무원 성과상여금 지급기준 2021 군인 경찰 교사 성과급 지급시기 (0) | 2020.11.22 |
| 엑셀 셀 삽입 오류 해결 방법 비어 있지 않은 셀을 워크시트의 끝으로 밀어내기 때문에 새 셀을 삽입할 수 없습니다. (3) | 2020.09.30 |
목차
댓글