2022년 공무원 봉급 인상률은 1.4%로 결정됐습니다.

위에서 보시는 2022년 공무원 봉급표는 2021년 공무원 봉급에 2022년 공무원 급여 인상률 1.4%를 가산하여 2022 공무원 봉급 인상을 계산한 예상금액입니다.
매년 똑같은 말을 반복하는 급여 인상률 이야기인 만큼, 과거에 썼던 글을 재활용 한 것이라 아래 내용은 작년 것이므로 참고만 하세요.
2021년 공무원 급여 인상은 0.9%로 결정되었습니다.
매년 8월에서 9월 경이면 내년도 예산안을 편성하면서 내년 공무원 봉급 인상률을 결정해둡니다.
예상 2021 공무원 봉급 인상 예상 봉급표
사실 제안인 셈이지만, 거의 원안대로 확정되는 편입니다.
희한하게 국회의원들은 전체적인 예산은 삭감시켜도 공무원 임금인상률에 대해서는 건드리지 않죠.
왜냐하면 공무원 임금인상률은 국회의원 보좌관들의 임금인상률이기도 하니까요.

그런데 2021년 공무원 급여 인상률은 역대 최저치라 국회의원 세비 인상도 대충 눈치 봐서 이 수준이 되어야 할 텐데...
과연 국쾌의원나리들이 이걸 그냥 둘지 건드려서 좀 더 인상될지는 모르겠습니다.
아무튼 2021년 공무원 월급은 2020년에 비해 0.9%만 인상될 예정입니다.
근 10년 내 최저 인상폭입니다.

많이 올라 봤자 3.8% 인상에 그치던 공무원 급여라 갈수록 민간 대비 공무원 처우가 상대적으로 나빠지는 중입니다.
국회에서 일을 하더라도 그들도 공무원이기 때문에 법에 정한 급여를 받게 됩니다.
항상 그 기준은 행정부 공무원이 되겠죠?
국회의원 보좌관은 일반직 공무원 4급의 21호봉의 급여를 받습니다.
국회의원 비서관 월급은 5급 공무원 24호봉에 해당하는 월급을 받죠.
5급 공무원은 고위직 공무원이니, 국회 비서라 해도 꽤 고위직 공무원에 해당합니다.
2021년 공무원 임금인상 0.9% 반영 공무원 월급표입니다.
제대로 된 인사혁신처 2021년 공무원 봉급표는 1월 초에 발표됐습니다.
경찰공무원 봉급표 2021 소방공무원 급여표.

0.9% 인상된 2021 경찰 봉급표입니다.
정식 발표된 자료가 아래의 표보다 조금 더 높게 발표된 것을 보면 0.9%인상이 아니라 1% 가량 인상되었음을 알 수 있습니다.

교육공무원 봉급표 2021

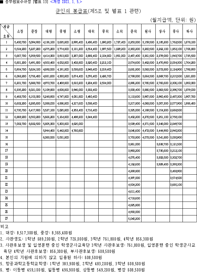
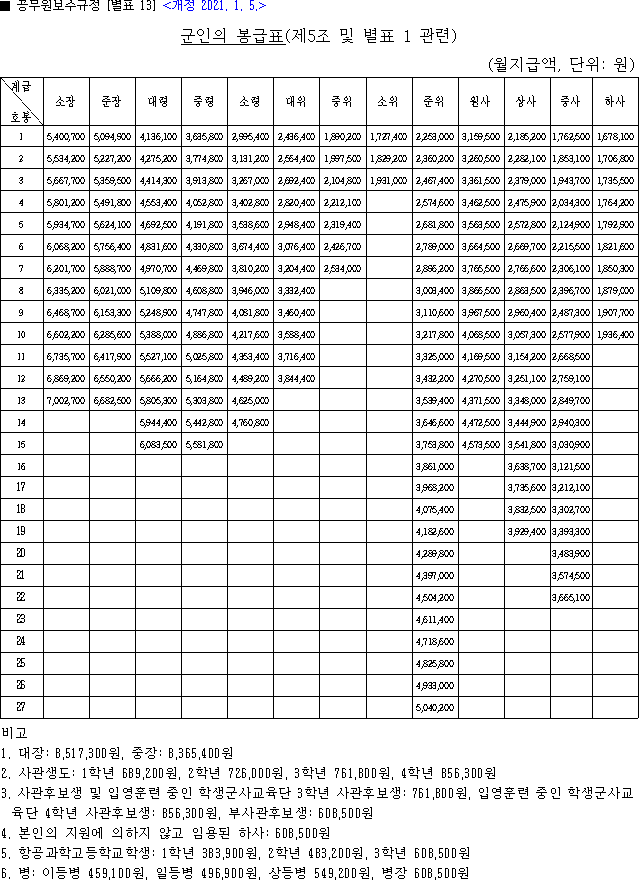
군인 봉급표 2021

2021 일반직 공무원 봉급표
정식 공무원 봉급표는 1월 5일에 공표 됐습니다.
정식 자료와 함께 첨부한 2021년 공무원 봉급표는 작년 8월말에 기획재정부가 발표했던 0.9% 인상률을 반영하여 계산한 봉급표입니다.

정식 발표된 자료와 비교해보면 큰 차이가 있음을 알 수 있습니다.

2018.01.10.23:31 뉴스에 보니까 제설도 작전이다라면서 기사가 났더군요.
공군 20 전비 활주로 제설작전에 관한 기사였습니다.
얼마 전에 며칠 눈이 많이 왔죠.
오늘은 고생이 많은 2021년 군인 봉급표에 대해서 살펴볼게요.
그전에 제목에 잠깐 언급한 공군 20 전비 활주로 제설작전에 사용된 제설장비 SE-88 활주로 제설차에 대해서 살펴볼게요.
저도 공군 출신입니다만... 저는 방공포병이라 산에서 생활했기 때문에 이런 장비를 본 적이 없습니다.
비행단에서 근무했다 치더라도 제가 근무하던 시절에는 이런 장비가 없었죠.
우리 부대에 높은 사람이 헬기 타고 올 때 눈이라도 오면 (대구에서 근무했는데... 어찌 거긴 눈이 그리 오던지...)
싸리 빗자루로 일일이 쓸어 치워야 했죠.

공군 제설장비 마징가 SE-88
아무튼 이 SE-88은 생긴 모양 때문에 현장에서는 마징가라고 부른다네요.
이 제설장비는 퇴역한 'F-4 팬텀'과 ‘F-5 제공호’의 제트 엔진을 재활용해서 만들었다고 합니다.

F-4 팬텀의 엔진이 더 크고 힘이 좋기 때문에 팬텀 엔진으로 만든 제설장비는 그레이트 마징가라고 부른다는군요.
제트엔진의 고열과 강압으로 눈을 녹이고 날리는 장비로 활주로의 빠른 제설을 지원한다고 합니다.
15시간이 걸릴 작업을 불과 40분 만에 끝내는 훌륭한 장비죠.
하지만 비행단에서만 사용할 수 있고... 육군은 여전히... 공군 방공사령부 예하부대도 여전히.... 빗자루로 제설작전을 편다더군요.
이렇게 고생하는 병사들이지만, 저 군대 다닐 때는 병장월급이 1만 원대에 불과했죠. 이병이 9천 원대였나?
그런데 2021년 군인 봉급표를 보면 병장 봉급이 무려 60만 원에 달하더군요.

직업군인인 부사관이나 장교 월급은 일단 공무원 신분인 만큼 2021년 공무원 봉급 인상률에 맞춰서 0.9% 인상됐습니다.
작년 말에는 2급 이상 공무원 봉급을 동결하네 어쩌네 하더니만 막상 개정된 2021년 공무원 보수규정을 보면 이 tR 들도 봉급을 올렸습니다.
매년 언플해대죠.
고위 공무원 봉급을 동결을 하네 어쩌네, 지급은 하고 인상분만큼 반납을 하네 어쩌네... 막상 지켜졌다는 뉴스는 보질 못했습니다.
올해는 웬일로 동결하나 싶었더니만 결국 꼼수로 올렸네요.
말단 공무원들이나 초급 장교나 부사관 급여 인상되는 거야 일정 부분 환영이지만, 저 똥별들과 고위공무원들은 원래도 월급 많이 받는데 왜 이렇게 쳐 올려대는 건지...ㅉㅉ
벌써 7월 이네요.
1년의 2분의 1이 지나고 있습니다.
오늘 정리할 내용은 2018 공무원 호봉표입니다.
공무원은 대체로 호봉제를 채택하고 있습니다.
근무년수가 쌓이면 1호봉씩 올라서 급여구간이 변하게 되죠.
따로 연봉협상 따위를 할 필요가 없이 법으로 정해져서 알아서 올려주죠.
가장 기본이랄 수 있는 일반직렬 공무원의 호봉표입니다.
급수인 9급에 따라 나뉘어 있고, 각 계급의 호봉별로 정리가 되어 있습니다.

일반직렬 공무원 중 가장 하위직인 9급공무원의 호봉이 이렇게 많을 필요가 있을까 싶네요.
보통 9급공무원으로 임용되면 3~4년 뒤에는 8급공무원으로 승진을 하게 되는데 말이죠.
군대 다녀와서 3호봉부터 출발해도 7~8호봉이면 충분할 것 같은데 무려 31호봉까지 있네요.

경찰공무원 및 소방공무원 호봉표는 계급 구간이 일반직렬공무원에 비해서 1계급이 더 있습니다.
덕분에 봉급표가 빽뺵해 보이죠.
반면에 교사는 계급이 없기 때문에 온전히 호봉으로만 이루어져 있습니다.

2018 군인 호봉표를 보면 다른 공무원 직렬에 비해서 급여 수준이 꽤 높은 것을 알 수 있습니다.

군인이라 특혜를 준 것이 아니고 2018년에는 최저임금이 화두가 되다보니, 가장 적은 임금을 받던 하사월급을 최저임금 수준에 맞추기 위해서 정액급식비 등의 수당을 포함시켰기 때문입니다.
하사월급이 착시를 일으키도록 표기되었으니 다른계급들도 모두 통상수당이 포함된 급여로 표기가 되었습니다.
최저임금이 급격하게 인상될 2020년까지 대부분의 공무원 급여표가 이렇게 될 전망입니다.
'직업과 직장' 카테고리의 다른 글
| 법정 월 근로시간 209시간 계산 방법 (0) | 2023.06.23 |
|---|---|
| 상호로 사업자등록번호 조회 사업자번호 찾기 (0) | 2023.06.21 |
| 뜨거운 현대제철 주가 로즈마리 사진, 효능 (0) | 2021.04.02 |
| 2021년 교육공무원 봉급표 2021 교사 호봉표 (0) | 2021.01.08 |
| 우체국 상시집배원 월급, 우정직 공무원 봉급표, 보수 지급표 (0) | 2021.01.03 |
목차
댓글