2023년 공무원 호봉표 및 2023 교원 교사 월급
소개
2023년이라는 시간은 눈 깜짝할 사이에 다가오고 있습니다. 공무원과 교사는 물론 많은 직종의 월급에 대한 관심이 높아지는 시기입니다. 특히 공무원 직업은 높은 안정성과 다양한 혜택으로 많은 이들이 그 입사를 희망하는 인기 직업 중 하나입니다. 오늘은 2023년 공무원 봉급표와 2023년 교사 교원 봉급에 대해 알아보도록 하겠습니다.
2023년 공무원 봉급 인상률
2023년의 공무원 봉급 인상률은 1.7%로 결정되었습니다. 이는 지난해에 비해 적은 인상률이긴 하지만, 많은 공무원들에게는 의미 있는 인상이 될 것입니다. 다만, 2024년 공무원 봉급표에 대한 정보는 아직 확인되지 않았습니다. 확실한 것은 2024년 공무원 봉급 인상률은 6급 이하는 3.1% 인상, 5급 이상은 2.3% 인상으로 결정됐다는 것입니다.

2023년 공무원 호봉표
2023년 공무원 호봉표에서 특히 주목할 만한 부분은 9급 1호봉입니다. 이 호봉은 경찰공무원, 소방공무원 및 의무경찰의 봉급표에서도 동일하게 1.7%의 인상을 받은 금액인 약 177만원으로 조정되었습니다.

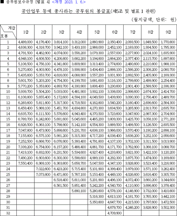
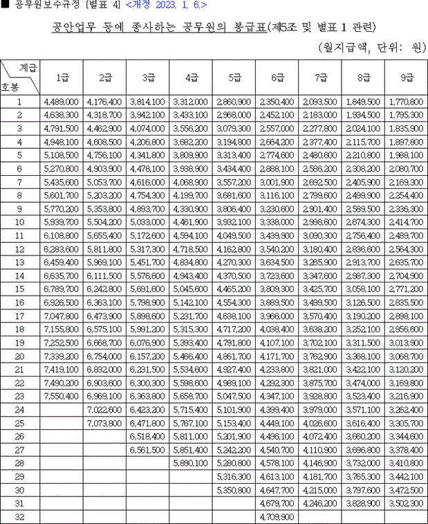
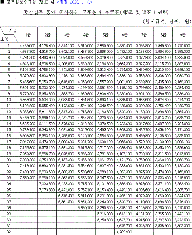
2023년 경찰 공무원 봉급표
2023 경찰 공무원 봉급표를 살펴보면, 경찰 월급 순경 1호봉은 일반직 9급 공무원 1호봉과 비슷한 약 177만 원으로 조정되었습니다.

이는 마약 수사관이나 국정원 직원과 같은 공안직 9급 공무원 1호봉 월급과도 유사합니다.

2023년 교사 교원 봉급표
교육분야에서도 2023년 교사 교원 봉급표가 중요한 관심을 받고 있습니다. 유치원, 초등학교, 중학교, 고등학교 교원들의 봉급표가 포함되어 있습니다. 특히, 교대나 사범대 출신의 정교사 2급 자격증 소지자는 교원 8호봉부터 시작하게 됩니다. 이로 인해 실질적인 2023년 교사 월급 초봉은 약 210만 원 정도로 조정되었습니다.

마무리
2023년 공무원 봉급표와 교사 교원 봉급표를 살펴보았습니다. 물론 시간이 흐르면서 변동이 있을 수 있으며, 봉급 인상률과 호봉표 등은 정부의 정책과 경제 상황에 따라 변동될 수 있습니다. 공무원과 교사들은 우리 사회의 중요한 기둥으로서 공헌하고 있으며, 그들의 노고에 대한 합리적인 대우가 이루어지길 바랍니다. 앞으로도 많은 이들이 꿈꾸는 직업으로서의 공무원과 교사로서의 길을 걷기를 기대합니다.
'직업과 직장' 카테고리의 다른 글
| 2024년 총경 승진 인사 명단 발령. (0) | 2024.01.22 |
|---|---|
| 조승환 해양수산부장관 프로필 학력 이력 (0) | 2023.10.31 |
| 교원 연가 일수 - 병가, 특별휴가 등 (0) | 2023.07.17 |
| 법정 월 근로시간 209시간 계산 방법 (0) | 2023.06.23 |
| 상호로 사업자등록번호 조회 사업자번호 찾기 (0) | 2023.06.21 |
목차
댓글