우체국 상시집배원 월급, 우정직 공무원 봉급표, 보수 지급표
우편배달을 하는 집배원이 모두 공무원일 것이라 생각했는데요.
집배원이나 우체국 택배 배달원이 모두 정규 공무원은 아니더군요.
이 글에서는 특히 상시 계약직 우체국 집배원 월급에 대해 다룰 텐데요.
이 계약직 집배원이 굳이 우체국 집배원 공무원과 다른 점을 찾자면, 공무원 신분이 아니기 때문에 공무원 연금 혜택은 없습니다.
하지만 공무원 연금이 아니니 공무원보다 금전 비율적으로는 더 이득인 퇴직금이 주어집니다.

상시집배원의 보수는 기본연봉 + 실적수당이 지급되고, 운전수당, 상시 집배 특별수당, 명절수당, 경평 상여금(경영평가), 가족수당, 장기근속 장려수당 (공무원으로 치면 정근 수당에 해당하겠죠?), 초과근무수당, 상시출장여비 등이 지급됩니다.
아시다시피 공무원 연금은 절반을 정부에서 보조해 준다는 허울이 있을 뿐, 사실 절반은 공무원들의 월급에서 공제해서 적립한 돈이죠.
그런 돈을 적게 주네 많이 주네 하죠.
그럼 정부가 보조한 절반은?
그걸 보조라고 할 수도 없어요.
일반 사기업은 퇴직금 적립은 급여에서 공제할 수 없게 되어 있죠.
그런데도 공무원은 합니다.
상시 계약 집배원의 퇴직금은 공제가 아닌 퇴직금 보장법에 따라 퇴직금을 사용 측인 우체국(정부)에서 적립했다가 지급합니다.
법대로 1년에 1달치의 월급이 적립되는 것이죠.
당연히 4대 보험도 적용됩니다.
휴가도 연차유급휴가, 공무 유급휴가, 특별 유급휴가(경조사 휴가)를 공무원에 준해서 받게 됩니다.
1일 8시간 근무를 기준으로 하기 때문에, 연장근로수당 및 휴일근로수당 당연히 지급받습니다.
공무원처럼 1시간 공제(꺽기)라든지, 월 62시간 이상 수령 불가 따위의 사족이 없습니다.
다만 공무원처럼 매년 1호봉씩 올라서 매년 공무원 임금인상률 + 호봉 인상의 월급 인상의 재미가 절대로~ 없습니다.

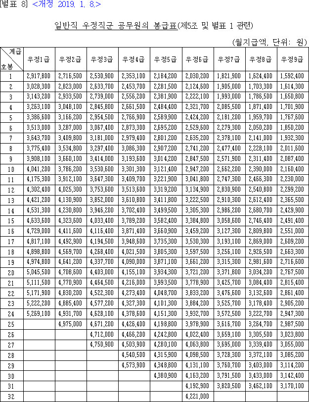
2021 공무원 봉급표는 아직 발표 전이지만 하위직 우정직 공무원 급여나 일반직렬 공무원 급여나 별반 차이가 없기 때문에 이미 발표된 2021 일반직렬 공무원 봉급표를 첨부합니다.



'직업과 직장' 카테고리의 다른 글
| 뜨거운 현대제철 주가 로즈마리 사진, 효능 (0) | 2021.04.02 |
|---|---|
| 2021년 교육공무원 봉급표 2021 교사 호봉표 (0) | 2021.01.08 |
| 2021년 공무원 여비규정 국내 국외 출장비 숙박비 여비지급 기준 (0) | 2021.01.01 |
| 인사혁신처 2021년 공무원 봉급표 2021 군인 월급 예상 & 대통령 연봉 대장 봉급 (0) | 2020.12.30 |
| 교사 연가일수 교육 공무원 연가보상비 계산방법 가족수당 정근수당 지급기준 (1) | 2020.12.28 |
목차
댓글