2021년 예산안에 따른 공무원 봉급표가 곧 발표될 텐데요.
2019년 공무원 봉급 인상률이 1.8%가 그 당시 5년 만에 최저 수준이라는 뉴스가 보이더군요.
하지만 말입니다.
우리는 살다 보면 늘 뭘 상상하든 그보다 최하의 것을 또 보게 됩니다.
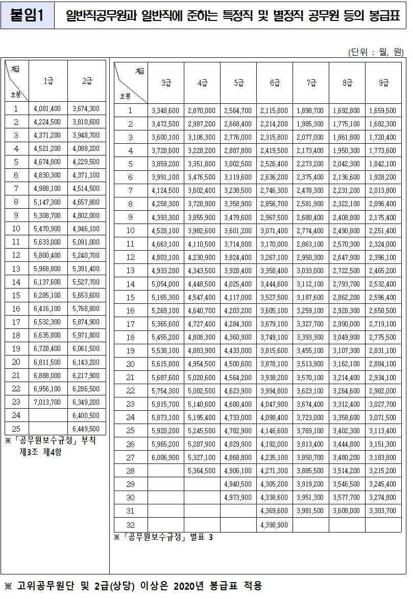
2021년 공무원 봉급 인상률은 0.5%로 역대 최저 수준의 인상률이 되었습니다.

이를 바탕으로 재계산한 표를 올립니다.
군인 봉급표 2021 역시 0.9%로 계산했습니다.
오늘은 특히 가장 많은 관심을 가지게 되는 2021년 공무원 급여는 얼마나 되는지 한번 알아보도록 하겠습니다.
아직 정식 발표된 것은 아니지만, 다년간 이런 내용을 포스팅하다 보니, 대략적으로 보이는 패턴으로 2021 공무원 봉급 인상률을 예측해 보았습니다.
먼저 2021년 공무원 호봉표를 알아보기 전에 공무원 보수체계에 대해 먼저 알아보겠습니다!
공무원 보수체계는 크게 봉급과 수당의 두 가지 급여 체계로 나누게 됩니다.
공무원 봉급은 공무원의 급수와 호봉에 따라서 급여가 달라지게 됩니다!
공무원 합격을 노리는 공시생들이 9급보다는 7급! 7급보다는 5급처럼 더 높은 급수로 임용되길 원하는 것도 더 많은 봉급부터 출발하기 때문이죠.
여기서 말하는 봉급이란 일반적으로 기본급에 해당한다고 이해하면 됩니다.
이 기본급에 수당을 더해야 공무원 급여 실수령액이 나옵니다.
공무원 수당은 상여수당, 가계 보전수당, 특수지 근무수당, 특수근무수당, 초과근무수당 등으로 종류가 다양합니다.

자세한 것은 위 표를 참고해주세요.

글을 쓰자마자 공무원인 동생이 정책뉴스 포털에서 벌써 인사혁신처 2021년 공무원 봉급표가 발표되었다면서 '원래 이런 게 미리 알려졌었나?' 라며 보내주더군요.

2021 공무원 호봉표를 예상해 보았지만, 사실 이것으로도 2021년 최저임금 인상률에 의한 최저임금에 못 미칠 가능성이 큽니다.
근소한 차이가 있지만 크게 차이는 나지 않는군요.
다만 차이가 있다면, 2급 공무원 이상은 봉급이 동결되었다는 점이 앞으로 발표될 봉급표와 가장 큰 차이점이 되겠습니다.
다음의 2021 군인 월급에서 병사 월급은 이미 발표된 내용이므로 정확한 인상 예정 월급입니다.

2021 군대 월급은 동결될 가능성이 큽니다.
이미 2020년에 33.3% 인상되었는데 병사 월급은 2년마다 인상된다고 합니다.
아래의 표는 기자들이 잘못 작성한 표라 매년 인상되는 것처럼 되어 있습니다.
2019년 병 봉급 인상액이 2020년 인상액이고 2020년 인상액은 2022년 군인 월급 인상 예정 금액입니다.

2021년 군인 봉급표에서 병장월급은 54만 원아며 2022년 군인 월급의 병장 월급은 67만 원 선까지 인상 예정입니다.
2021년 직업군인 월급은 일반 공무원과 마찬가지로 0.9%가량 인상될 것이지만, 일반직 공무원 봉급표에서 보다시피 1급 2급 공무원 봉급이 동결된 것처럼 군인은 1급 2급에 해당하는 소장, 준장 월급이 동결될 전망입니다.
중장 대장 월급이야 당연히 동결이겠죠?
중장은 차관급이고 대장은 장관급 연봉을 받기 때문에, 대체로 아래의 2021년 정무직 연봉 표에 준해서 받게 됩니다.

2021 대통령 연봉은 2억 3천8백만 원입니다.
국무총리 연봉은 1억 8천4백만 원.

장관은 1억 3천5백만 원이니, 대장 연봉도 1억 3천5백만 원일 것입니다.
대장 봉급은 올해 봉급으로 동결.
중장 연봉은 1억 3천1백만 원. 차관 및 차관급에 준하는 공무원 중에 하나가 바로 중장이기 때문이죠.
'직업과 직장' 카테고리의 다른 글
| 우체국 상시집배원 월급, 우정직 공무원 봉급표, 보수 지급표 (0) | 2021.01.03 |
|---|---|
| 2021년 공무원 여비규정 국내 국외 출장비 숙박비 여비지급 기준 (0) | 2021.01.01 |
| 교사 연가일수 교육 공무원 연가보상비 계산방법 가족수당 정근수당 지급기준 (1) | 2020.12.28 |
| 2021년 경찰공무원 채용 시험 일정 2021 101경비단 여경 순경공채 선발 인원 (0) | 2020.12.19 |
| 군인 중위 연봉 해군 공군 대위 육군 소위 2021 장교 월급 (0) | 2020.12.17 |
목차
댓글